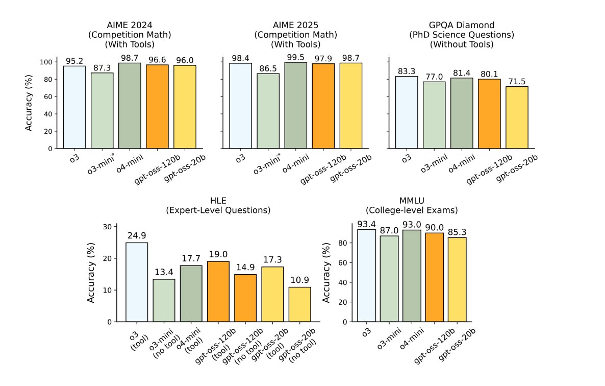
OpenAI сделали невозможное: они выпустили в open source две бесплатные модели, которые почти не уступают их топовым o3 и o4-mini (2 фото + 1 видео)
Это самые умные модели, которые вы можете запустить у себя дома — маленькая gpt-oss-20b летает на домашнем ПК. А ещё это первый релиз в опенсорс от OpenAI за 6 лет — последний раз они выпускали мамонта GPT-2.